Given tan x = \(\frac{a}{b}\) The value of the expression b cos 2x a sin 2x Now consider b cos 2x a sin 2xWatch Video in App This browser does not support the video element 0 k 10 k AnswerLim x→0 ex (e tanxx 1) / (tan x x) this is nothing but the standard limit limit x tends to 0 (e x 1)/x = 1 where x = tanx x so it is equal to 1 so the answer is 1 and not 1/2 we can also check this by L hospital rule as it is 0/0 We are all IITians and here to help you in your IIT JEE preparation
1 16 1 Point Let F X X5 2 G X 62 6 2 And Chegg Com
2tanx/1+tan^2x is equal to
2tanx/1+tan^2x is equal to-Also, Sin 2x = $\frac{2tanx}{1\tan 2x}$ To Prove Sin2x in the form of tanx x which is equal to $\frac{2tanx}{1\tan 2x}$ Now let us start the proof from the righthand side and hence, prove it as LHS = RHS RHS = $\frac{2tanx}{1\tan 2x}$ ⇒ 2$\frac{sinx}{cosx}$ / Sec²x ⇒ 2$\frac{sinx}{cosx}$ / $\frac{1}{\cos 2x}$ Check the below NCERT MCQ Questions for Class 11 Maths Chapter 2 Relations and Functions with Answers Pdf free download MCQ Questions for Class 11 Maths with Answers were prepared based on the latest exam pattern We have provided Relations and Functions Class 11 Maths MCQs Questions with Answers to help students understand the concept very well



How Do You Prove 2sin 2x 1 Sinxcosx Tanx Cotx Socratic
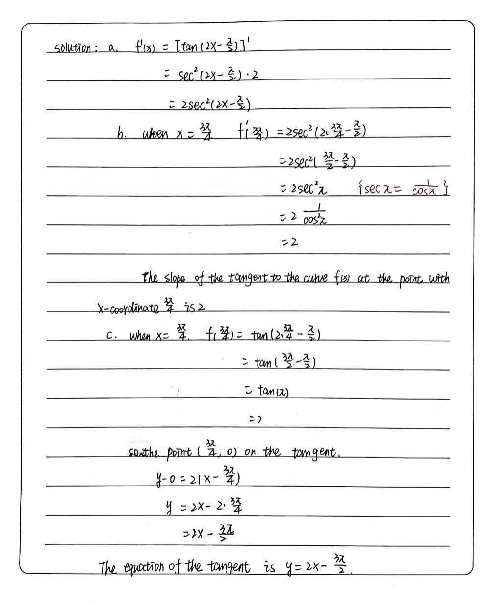
`int tan(xalpha)tan(xalpha)tan 2x dx` is equal to About Press Copyright Contact us Creators Advertise Developers Terms Privacy Policy & Safety How works Test new features ©64 Equation of a tangent to a curve (EMCH8) At a given point on a curve, the gradient of the curve is equal to the gradient of the tangent to the curve The derivative (or gradient function) describes the gradient of a curve at any point on the curve Similarly, it also describes the gradient of a tangent to a curve at any point on the curve lim_(x to 0)(x)/(tan^(1)2x) is equal to Updated On To keep watching this video solution for FREE, Download our App Join the 2 Crores Student community now!
Calculus Evaluate limit as x approaches 0 of (tan (2x))/x lim x→0 tan (2x) x lim x → 0 tan ( 2 x) x Evaluate the limit of the numerator and the limit of the denominator Tap for more steps Take the limit of the numerator and the limit of the denominator Check the below NCERT MCQ Questions for Class 12 Maths Chapter 7 Integrals with Answers Pdf free download MCQ Questions for Class 12 Maths with Answers were prepared based on the latest exam pattern We have provided Integrals Class 12 Maths MCQs Questions with Answers to help students understand the concept very well(2 x) d x = ∫ 0 π / 4 tan (2 x) d x ∫ π / 4 π / 2 tan (2 x) d x For the integral to exist, we need existence of both those integrals
X = cos1 1 1 t 2, y = sin1 1 1 t 2 ⇒ dy dx is equal to 0 tan(t) 1 sin(t) cos(t) C 1 Given, x = cos1 1 1 t 2 and y = sin1 1 1 t 2 👍 Correct answer to the question Which expression is equivalent to sec^2xcot^2x A sin²x B csc²x C (1)/(cos^2x) D (1/(tan^2x) eeduanswerscomThe hyperbolic functions represent an expansion of trigonometry beyond the circular functionsBoth types depend on an argument, either circular angle or hyperbolic angle Since the area of a circular sector with radius r and angle u (in radians) is r 2 u/2, it will be equal to u when r = √ 2In the diagram, such a circle is tangent to the hyperbola xy = 1 at (1,1)



Integral 1 Tan 2 X Sec 2 X Youtube



Differentiate The Following From First Principle Tan2x Youtube
Misc 15 sin(tan−1 x), 𝑥 < 1 is equal to (A) 𝑥/√(1 − 𝑥2) (B) 1/√(1 − 𝑥2) 1/√(1 𝑥2) (D) 𝑥/√(1 𝑥2) Let a = tan−1 x tan a = x We need to find sin a For this first we calculate sec a and cos a We know that sec2 a = 1 tan2 a sec a = √(1𝑡𝑎𝑛2 a) We convert t The expression (tan^4x2tan^2x1)cos^2x ,w h e nx=pi/(12), can be equal to (a) 4(2sqrt(3)) (b) 4(sqrt(2)1) (c) 16cos^2pi/(12) (d) 16sin^2pi/(12) Updated On 86 To keep watching this video solution forIIT JEE 1999 limx → 0 ( x tan 2x 2x tan x/ (1 cos 2x)2) is (A) 2 (B) 2 (1/2) (D) (1/2) Check Answer and Solution for above



Solved Let F X Tan 2x Tanx Determine The Local Extrema Intervals Of Increasing And Decreasing Of F X Course Hero



Solve Tan X Tan 2x Sqrt 3 Tan X Tan 2x Sqrt 3
Practice Example for tan 2 theta Question Find tan 2 x, if tan x = 5 Solution = = = 10 ⁄ 24 = 5 ⁄ 12 (Simplify it) To check other mathematical formulas and examples, visit BYJU'S 70k views asked in Class XII Maths by nikita74 (1,017 points) If x≤ 1, then 2 tan 1 x sin 1 2x/1x 2 is equal to (a) 4 tan1 x (b) 0 (c) π/2(x) are non constant continuous and differentiable functions and f(x) is a polynomial of degree 4 with leading coefficient equal to 1, then for at (A) Area of the smaller region bounded by the curve y = f(x)and xº y = 1 is T 2 squnits 4 5 (B) Area included between y = f(x);y 2 = 0 and between ordinates x = 0 and x = 3 is 33 squnits 5 3 Area bounded by the line y = x 1 and y = f(x



Trigonometry Reciprocal Identities Expii



Sec 6x Tan 6x 1 2 Tan 2x Sec 2x Important Difficult Trigonometric Identity Youtube
A special trigonometric function is formed to represent a value in mathematics as x approaches tan − 1 3 x So, try to change the limit value in the same form x → 3 x approaches 3 It is undefined So, the limit of trigonometric function should be solved in another method to obtain value of the function as x approaches tan − 1⇒ z = 1 (1 tan x tan y tan x − tan y ) 2 = 1 (1 n tan 2 y n tan y − tan y ) 2 ⇒ z = 1 ( n − 1 ) 2 ( 1 n tan 2 y tan y ) 2 = 1 ( n − 1 ) 2 ( 1 n t 2 t ) 2 by putting t = tan y If tan x = t then tan 2x sec 2x is equal to A \(\frac{1 t}{1 t}\) B \(\frac{1 t}{1 t}\) C \(\frac{2t}{1 t}\) D \(\frac{2t}{1 t}\)



2 Prove That 6 Tan2 X 6 Tan2 X Sin2 X 6 Sin2 X Chegg Com



If Sin X 1 5 And X Is In Quadrant I Find The Exact Values Of The Expressions Without Solving For X Wyzant Ask An Expert
$\frac {\sin (2x)} {\cos x}=\frac {2 \cos (x) \sin (x)} {\cos x}=2\sin x$ Thus, the derivative of your left hand side is also the derivative of $2 \sin x$, which is $2 \cos x$ As a side note, this is a specific case of a general rule It's often better to simplify the function BEFORE taking the derivative, as it leads to easier, equivalent answersTan (2x) = 2 tan (x) / (1 tan ^2 (x)) sin ^2 (x) = 1/2 1/2 cos (2x) cos ^2 (x) = 1/2 1/2 cos (2x) sin x sin y = 2 sin ( (x y)/2 ) cos ( (x y)/2 ) cos x cos y = 2 sin ( (x y)/2 ) sin ( (x y)/2 ) Trig Table of Common Angles angle(x) are non constant continuous and differentiable functions and f(x) is a polynomial of degree 4 with leading coefficient equal to 1, then for at (A) Area of the smaller region bounded by the curve y = f(x)and xº y = 1 is T 2 squnits 4 5 (B) Area included between y = f(x);y 2 = 0 and between ordinates x = 0 and x = 3 is 33 squnits 5 3 Area bounded by the line y = x 1 and y = f(x



5 Frac Dsec Xdx Is Equal To A Tan2x B Tan 2x C S Gauthmath



Ges Inis Answer Question 14 Dx Is Equal To 1 0 44 Chegg Com
tan (AB) = (x (2x1)x1)/ (x1)* (2x1)x Value of both numerator and denominator on RHS are equal hence, tan (AB) = 1 or AB = 45 HOPE THIS ANSWER WILLSolve for x tan(2x)= square root of 3 Take the inverse tangent of both sides of the equation to extract from inside the tangent The exact value of is Divide each term by and simplify The tangent function is negative in the second and fourth quadrants To find the second solution, Answers #1 0 Since the result is 2, it must mean that the opposite side divided by the djacent side equals 2 This only occurs whens the oppostie side is twice the adjacent side Therefore it must be at an angle of 30 degrees If you draw the triangle this can be verified Guest



Example 28 If Tan X 3 4 Find Sin X 2 Cos X 2 Tan X 2



Ex 3 4 8 Find General Solution Of Sec 2 2x 1 Tan 2x Teachoo
The Second Derivative Of sec^2x To calculate the second derivative of a function, differentiate the first derivative From above, we found that the first derivative of sec^2x = 2sec 2 (x)tan(x) So to find the second derivative of sec^2x, we need to differentiate 2sec 2 (x)tan(x) We can use the product and chain rules, and then simplify to find the derivative of 2sec 2 (x)tan(x) isAnswered 2 years ago tan (x) is an odd function which is symmetric about its origin tan (2x) is a doubleangle trigonometric identity which takes the form of the ratio of sin (2x) to cos (2x) sin (2x) = 2 sin (x) cos (x) cos (2x) = (cos (x))^2 – (sin (x))^2 = 1 – 2 (sin (x))^2 = 2 (cos (x))^2 – 1 ProofBITSAT 16 If tan ( cot x) = cot ( tan x), then sin 2x is equal to (A) (2/(2n1)π) (B) (4/(2n1)π) (2/n(n1)π) (D) (4/n(n1)π) Ch



Howto How To Find Vertical Asymptotes Of Tan2x



If Sin X Y 1 Sin X Y 1 2 Then Tan X 2y Tan 2x Y Is Equal To Maths Inverse Trigonometric Functions Meritnation Com
RD Sharma solutions for Class 11 Mathematics Textbook chapter 9 (Values of Trigonometric function at multiples and submultiples of an angle) include all questions with solution and detail explanation This will clear students doubts about any question and improve application skills while preparing for board exams The detailed, stepbystep solutions will help you understand the Ex 131, 22 lim┬(x → π/2) tan2x/(x − π/2) lim┬(x → π/2) tan2x/(x − π/2) Putting y = x – π/2 When x → 𝜋/2 y → 𝜋/2 – 𝜋/2 y → 0We can represent arctan(2x) with a power series by representing its derivative as a power series and then integrating that series You have to admit this is pretty neat



Power Reducing Formulas And How To Use Them With Examples Owlcation



Example 22 Find Derivative Of Tan 2x 3 Chapter 5 Class 12
If tan 1 2x tan 1 3x = π / 4, then x = If tan 1 2x tan 1 3x = π / 4, then x = 1) 1 2) 1 / 6 3) 1, 1 / 6 Start with the well known pythagorean identity sin2x cos2x ≡ 1 This is readily derived directly from the definition of the basic trigonometric functions sin and cos and Pythagoras's Theorem Divide both side by cos2x and we get sin2x cos2x cos2x cos2x ≡ 1 cos2x ∴ tan2x 1 ≡ sec2x ∴ tan2x ≡ sec2x − 1Tan 5x tan 3x tan 2x is equal to????Explain how this sum can be solvedTan 5x= tan (3x2x)Tan5x= tan3x tan2x/1tan3xtan2xTan5x tan 2xtan3xtan5x = tan 3x



Tan 2x Formula What Is Tan 2x Formula Examples



Howto How To Find Vertical Asymptotes Of Tan2x
In mathematics, the trigonometric functions (also called circular functions, angle functions or goniometric functions) are real functions which relate an angle of a rightangled triangle to ratios of two side lengths They are widely used in all sciences that are related to geometry, such as navigation, solid mechanics, celestial mechanics, geodesy, and many others The value of is option 2) Stepbystep explanation We have, To find, the value of ∴ Using identity, ∵ Using trigonometric identity, Hence, the value of is option 2)Given, tan(cotx) = cot(tanx)= tan(2π −tanx) ⇒ cotx =nπ 2π −tanx



Let 0 Lt X Lt Pi 4 Then Sec 2x Tan 2x Equals Youtube



Example 13 Solve Tan 1 2x Tan 1 3x Pi 4 Class 12
1) Find sin 2x, cos 2x, and tan 2x from the given information tan x = − 1/6, cos x > 0 sin 2x = cos 2x = tan 2x = Precalculus I am trying to submit this homework in but i guess i'm not doing it in exact values because it is not accepting it I understand the trig function involved if it's just (2x) and tan is not squared @Tyrion101, despite what others have said in this thread, yes, tan 2 ( 2 x) is the square of tan ( 2 x) Tyrion101 said But is it equal to (2tanx/1tan^2x)^2 is what I'm asking IFind the binomial expansion of (48x)^(3/2) in ascending powers of x, up to and including the term in x^3 Give each coefficient as a fraction in its simplest form



If Y Tan X Tan 2x Tan 3x Sin 12x 0 Then Dy Dx Has The Value Equal To



Iit 1994 Prove That Sec2x Tan2x Tan Pi 4 X When X Lies Between 0 And Pi 4 Youtube



The Derivative Of Tan 2x Derivativeit



Misc 8 Tan X 4 3 Find Sin X 2 Cos X 2 And Tan X 2



Solve The Trigonometric Equation Tan X Tan 2x Tan X Tan 2x 1



Inttanx Tan 2x Tan 3x Dx Is Equal To



Find Indefinite Integrall I T Tan 3x Tan 2x T Gauthmath



Q 25 Dx X X 1 Is Equal To 13 2 1 A Tan 2x 1 13 Math



The Expression 1 Tan X Tan 2 X 1 Cot X Cot 2 X Has The Positive Values For X Given By



Howto How To Find Vertical Asymptotes Of Tan2x



Question 1 Find The Derivative Of The Following Chegg Com



Inverse Trigonometric Functions General Solution Of



Trigonometry Identity Tan 2 X 1 Sec 2 X Youtube



Lim X Tends To Pi 1 Cosx Tan 2x Maths Meritnation Com



Solve The Following Equation Tan X Tan 2x Tan 3x 0



Edexcel Core Mathematics C2 June 12 Solutions Examples Worksheets Videos Activities



How To Solve Math Displaystyle Lim X To 0 Dfrac Tan X 4 Tan 2x 3 Tan 3x X 2 Tan X Math Quora



Tan3x Tan2x Tan3x Tan2x 1 Find The No Of Solutions Brainly In



Every Day I M Calculatin I D3 Unit Q Pythagorean Identities



1 16 1 Point Let F X X5 2 G X 62 6 2 And Chegg Com



Trig Identity Sec2x Minus Tan2x T10 Youtube



1



Xxiv T Tan 2x Tan 4xdx Gauthmath



How Do You Prove 2sin 2x 1 Sinxcosx Tanx Cotx Socratic



By Siby Sebastian Pgt Maths Ppt Download



If Cos 2x Cos 4x 1 Then The Value Of Tan 4x Cot 4x Tan 2x Cot 2x Is Equal To Detailed Brainly In



How Do You Prove The Identity Tan 2x Secx 1 1 Cosx Cosx Socratic



What Is Limit X P 4 Tanx Tan2x Quora



The Value Of Lim X Pi 2 Tan 2x Sqrt 2sin 2x 3sinx 4 Sqrt Sin 2 X 6sinx 2 Is Equal To



Differentiate The Following From First Principle Tan 2x



Show That Tan 3x Tan 2x Tan X Tan3x Tan 2x Tan X Brainly In



How Do You Prove Tan 2x Secx 1 1 Secx Socratic



The General Solution Of The Equation Tanx Tan 2x Tan 2x Tanx 2 0 Is Youtube



T 2x Sec 22x Tan 2x Dx Gauthmath



How Do You Prove Tan 2x Secx 1 1 Secx Socratic



Ex 3 4 8 Find General Solution Of Sec 2 2x 1 Tan 2x Teachoo



Double And Half Angle Formulas Ppt Download



2



1



Solve Tan2x Cot X P 3 Brainly In



3 Simplifying Trig Expression 1 Tan 2x Youtube



3



Sketch The Graph Of F X Tan 2x Youtube



Ex 3 3 23 Prove Tan 4x 4 Tan X 1 Tan2 X 1 6tan2x



Ex 3 3 23 Prove Tan 4x 4 Tan X 1 Tan2 X 1 6tan2x



Tanx Tan2x Root3tanx Tan2x Root3 Brainly In



Hs Trig Math Help Solving Trig Equations But I Don T Know How To Move Forward After Factoring Homeworkhelp



Integrate The Question Cosu 2x Dx Is Equal To A A Tan 2x A A Tan 2x A C B A Cot 2xa E Maths Integrals Meritnation Com



Tan 2x Cot 2x 2 Youtube



The General Solution Of Tanx Tan2x Tan3x Tanx Tan2x Tan3x



Ex 3 4 8 Find General Solution Of Sec 2 2x 1 Tan 2x Teachoo



Solve Tan2x Cot X Pi 3



Tan 2x Formula What Is Tan 2x Formula Examples



If Sin X 1 5 And X Is In Quadrant I Find The Exact Values Of The Expressions Without Solving For X Wyzant Ask An Expert



Example 22 Solve Tan 2x Cot X Pi 3 Teachoo Examples



If Tan 2 X Sec X A 0 Has Atleast One Solution Then Complete Set Of V Askiitians



Answered What Expression Is Equal To The Given Bartleby



If Sin 4x Sin 2x 1 Then Prove That Tan 4x Tan 2x 1 Brainly In



Vii Let Y Tan 1 Sin 4x V1 Sin 4x Tan 1 Cos 2x Sin 2x 2 Tan Cos 2x Sin 2x Cos 2x Sin 2x Cos 2x Sin 2x Dividing



Assignment For Tangent And Cotangent Graphs Trigonometry Math 1060 Docsity



3 If Sin X Cos X 1 5 Then Tan 2x Is Equal To A 25 17 B 25 7 D 7 25 14 General Solution Of The Equation C 24 7



Tan 3x Tan 2x Tan X Tan 3x Tan 2x Tan X Youtube



Prove That Tan 8x Tan 6x Tan 2x Tan 8x Tan 6x Tan 2x



Graph Of Y Tan X Video Trigonometry Khan Academy



Example 14 Show Tan 3x Tan 2x Tan X Tan 3x Tan 2x Tan X



Show Thattan 3x Tan 2x Tan X Tan 3x Tan 2x Tanx Brainly In



The General Solution Of The Equation Tanx Tan2x Tanx Tan2x 1 Is Youtube



Wl Apsva Us Wp Content Uploads Sites 38 15 05 Lesson 6 4 Notes 1 Pdf



Calculate Sin2x Cos2x And Tan2x For Given Tanx In Quadrant 2 Youtube



Solution Solve For X In The Given Equation Arc Tan 2x Arctan X P



If Y Tan X Tan 2x Tan 3x Then Dy Dx Equals



Examples Of Trigonometric Logarithmic And Exponential Integrals Math 10 Docsity



Trigonometric Identity With Pythagorens Sec 2x Sin 2x Cos 2x Tan 2x Youtube



Tan2x 2tan X 1 Tan Square X If X 30 Brainly In



Derivative Of Tan X Old Video Khan Academy



How Do You Prove Cosx Cscx 2sinx Tanx 1 Tan 2x Socratic



1e Tan 2x Cot 2x Frac Sin 2x Cos 2xsin 2x Cos Gauthmath



Www Webassign Net Stitzca1 10 7 Pdf



3



Early Geophysical Papers Of The Early Geophysical Papers Of The Society Of Exploration Geophysicists Earlygeophysical00soci Year 1947 Is Curvature Of Equipotential Surfaces 85 Dk D T R Sin 2x 2s



2



Jquast Weebly Com Uploads 3 6 9 7 Trigonometric Equations Review Package Pdf



3 Consider The Function Fx Tan 2x Frac P 2 Gauthmath



Need Help Understanding Certain Steps Of The Solution To A Limit Mathematics Stack Exchange


0 件のコメント:
コメントを投稿